MANE 3332.04
-
Topic(s): Chapter 9, Case 1
-
Assignments:
- New: Chapter 8, Case 3 Quiz (assigned 4/21/2025, due 4/23/2025)
- New: Chapter 9, Case 1 2-sided Practice Problems (assigned 4/21/2025, due 4/23/2025)
- New: Chapter 9, Case 1 Lower Practice Problems (assigned 4/21/2025, due 4/23/2025)
- New: Chapter 9, Case 1 Upper Practice Problems (assigned 4/21/2025, due 4/23/2025)
- Tech Report Assignment 2 (assigned 4/16/2025, due 4/21/2025)
- Attendance
- Questions?
Handouts
Introduction to Hypothesis Testing
Decision Making for a Single Sample
-
Inferential statistics consists of methods used to make decisions or draw conclusions about a population using information contained in a sample
-
Inference is divided into two major areas:
-
Parameter estimation (both point and interval)
-
Hypothesis testing
-
Overview of Statistical Hypotheses
-
Many engineering problems require a decision to be made regarding some statement about a parameter
-
The statement is called a hypothesis
-
The decision-making process about the hypothesis is call hypothesis testing
-
-
Statistical hypothesis testing is usually the data analysis stage of a comparative experiment
-
A procedure leading to a decision about a particular hypothesis is called a test of hypothesis
-
Testing the hypothesis involves taking a random sample, computing a test statistic from the sample data and then using the to make a decision
Statistical Hypothesis
-
A statistical hypothesis is a statement about the parameters of one or more populations
-
A statistical hypothesis has two parts a null hypothesis (denoted \(H_0\)) and an alternative hypothesis (denoted \(H_1\))
-
The null hypothesis contains an equality statement about the value of parameter. For example \(H_0:\mu=12\mbox{ ounces}\).
-
There are three possible alternative hypotheses: \(H_1:\mu\neq 12\), \(H_1:\mu<12\), or \(H_1:\mu>12\)
-
The goal of the research will determine the appropriate alternative hypothesis
-

Errors in hypothesis testing
-
Whether a correct decision is made depends upon the true nature of \(H_0\) and the decision arrived at.
-
A type I error occurs when the null hypothesis is true and the outcome of the test is to reject \(H_0\). The probability of a type I error is denoted as \(\alpha\)
-
A type II error occurs when the null hypothesis is false and the outcome of the test is to fail to reject \(H_0\). The probability of a type II error is denoted as \(\beta\).
-
The power of a statistical test is the probability rejecting the null hypothesis \(H_0\) when the alternative hypothesis is true. \(\mbox{Power}=1-\beta\)

Error Example: Manufacturing
Error Example: Medical
General Procedure for Hypothesis Testing
The following sequence of steps is recommended
-
From the problem context, identify the parameter of interest,
-
State the null hypothesis, \(H_0\),
-
Specify an appropriate alternative hypothesis, \(H_1\),
-
Choose a significance level \(\alpha\)
-
State an appropriate test statistic,
-
State the rejection region for the (test) statistic,
-
Compute any necessary sample quantities, substitute these into the equation for the test statistics, and compute that value,
-
Decide whether or not \(H_0\) should be rejected and report in the problem context
Chapter 9, Case 1
Inference on the Mean of a population, variance known
-
Assumptions:
-
\(X_1,X_2,\ldots,X_n\) is a random sample of size \(n\) from a population
-
The population is normal, or if it is not normal, the conditions of the central limit theorem apply
-
-
The parameter of interest is \(\mu\)
-
The null hypothesis is \(H_0:\mu=\mu_0\)
-
The test statistic is
and has a standard normal distribution
- The alternative hypotheses and corresponding critical value(s) are shown in figure 9-11 on page 209

Summary for hypothesis test on the mean, variance known
- See the material on the inside cover of your textbook

Problem 1

Problem 2


Connection between Hypothesis Tests and CI
-
There is a close connection between confidence intervals and hypothesis tests
-
Consider a \(100(1-\alpha)\%\) confidence interval on \(\mu\) and a hypothesis test of size \(\alpha\) shown below
-
The conclusion to reject \(H_0\) will be reached if \(\mu_0\) is not contained within the confidence interval
-
If \(\mu_0\) is within the confidence interval, we fail to reject \(H_0\)
-
The \(100(1-\alpha)\%\) confidence interval on \(\mu\) is the acceptance region
\(P\)-values
-
Is a widely used alternative to the traditional hypothesis test
-
Definition: The \(p\)-value is the smallest level of significance that would lead to reject of the null hypothesis \(H_0\) with the given data
-
Formulas are given below
- Usage: if \(p\)-value<\(\alpha\) then the conclusion is reject H0, otherwise fail to reject H0
Practice Problem Chapter 9, Case 1 2-sided
Practice Problem Chapter 9, Case 1 Lower
Practice Problem Chapter 9, Case 1 Upper
Type II error and sample size for a two-tailed test
- Probability of type II error for the two-tailed test
where \(\mu=\mu_0+\delta\)
- The sample to detect a difference between the true and hypothesized mean of \(\delta\) with power at least \(1-\beta\) is
where \(\delta=\mu-\mu_0\)
Type II error and sample size for the one-tailed tests
- For an upper-tailed test
- For a lower-tailed test
- The sample size required to detect a difference between the true mean and hypothesized mean of \(\delta\) with power at least \(1-\beta\) is
If \(n\) is not an integer, round up to the nearest integer
R: Chapter 9 Case 1 Hypothesis Testing

Power using OC-Curve
Find the power when the true mean value is 3.325

R: Chapter 9 Case 1 Power

Type II Error Rate and Sample Size
- You will not be required to calculate or use OC-curves
- You must understand the concept and be able to correctly identity type I and type II error
Chapter 9, Case 2
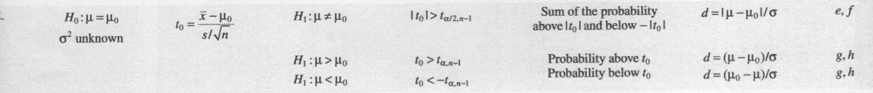
Hypothesis Test on the Mean, Variance Unknown
-
Much more common case than variance known
-
Substitute \(S\) for \(\sigma\)
-
The test statistics is now a \(t\) random variable
Summary of Case 2

Problem 9.3.6



Classical Approach
Hypothesis Test Using R

Normal Probability Plot

\(P\)-values
-
More difficult to calculate since the \(t\)-tables only contain a few quantiles
-
Can use tables to generate bounds on the \(p\)-value
-
Software will provide \(p\)-values
P-values from R

Power Calculations
-
Are much more complicated
-
The true distribution is now a non-central \(t\)
-
Use tables to solve (Chart VII in appendix) or software
Power Calculation using R

Sample Size using R

Chapter 9, Case 2 2-sided Practice Problems
Chapter 9, Case 2 Lower Practice Problems
Chapter 9, Case 2 Upper Practice Problems
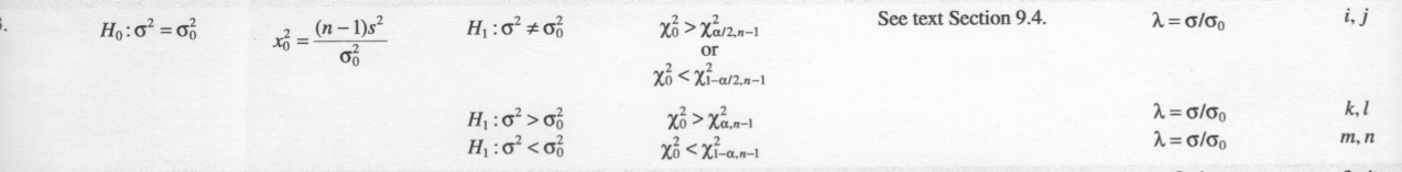
Case 3. Hypothesis Test on Variance of Normal Population
- The test statistics is a \(\chi^2\) random variable
- The table below summarizes the three possible hypothesis tests. The rejection regions are clearly shown in Figure 9-17 on page 222
Figure 9-17

Test Summary
- See summary in your textbook

Problem 7.108
Problem taken from Ostle, Turner, Hicks and McElrath (1996). Engineering Statistics: The Industrial Experience. Duxbury Press.

Statistics for Problem 7.108

Classical Approach
Problem 7.108 Plots

Problem 7.108 Plots

Problem 7.108 Shapiro-Wilks Test

p-values
-
Very similar to the case for the mean of a normal population with variance unknown
-
Difficult to calculate since the \(\chi^2\)-tables only contain a few quantiles
-
Can use tables to generate bounds on the \(p\)-value
-
Software will provide \(p\)-values
Test on Variance using R (EnvStats)

Power Calculations
-
Can be done with OC curves found in Table VIIi--n
-
Can be done in software such as R
Test on Standard Deviation
- What about test on standard deviation?
Chapter 9, Case 3 2-sided Practice Problems
Practice Problem Chapter 9, Case 3 Lower
Practice Problem Chapter 9, Case 3 Upper
Case 4. Hypothesis Test on a Population Proportion
- The test statistics for the hypothesis test is

Problem 9.5.2

Problem 9.5.2 Classic Approach
Power Calculations
- For the two-sided alternative hypothesis
- If the alternative is \(H_1:p<p_0\)
- and finally if the alternative hypothesis is \(H_1:p>p_0\)
Sample Size
- Sample size requirements to satisfy type II(\(\beta\)) error constraints for a two-tailed hypothesis test is given by
-
For a sample size for a one-sided test substitute \(z_\alpha\) for \(z_{\alpha/2}\).
-
Problem 9.95
Testing for Goodness of Fit
-
Material is presented in section 9-7 of your textbook
-
Procedure determines if the sample data is from a specified underlying distribution
-
Procedure uses a \(\chi^2\) distribution
-
Example 9-12 presents a \(\chi^2\) goodness of fit test for a Poisson example
-
Example 9-13 presents a \(\chi^2\) goodness of fit test for a normal example
Procedure
-
Collect a random sample of size \(n\) from a population with an unknown distribution,
-
Arrange the \(n\) observations in a frequency distribution containing \(k\) classes
-
Calculate the observed frequency in each class \(O_i\),
-
From the hypothesized distribution, calculate the expected frequency in class \(i\), denoted \(E_i\) (if \(E_i\) is small combine classes)
-
Calculate the test statistic
- Reject the null hypothesis if the calculated value of the test statistic \(\chi^2_0>\chi^2_{\alpha,k-p-1}\) where \(p\) is the number of parameters in the hypothesized distribution
Example 9.12, part 1

Example 9.12, part 2

Chapter 9 Summary
- You should be prepared to work any practice problems assigned: Cases 1-3 with three different alternatives
- All other information is conceptual knowledge that can be questioned with multiple choice
- Name 3 ways to test if data is from a normal distribution