MANE 3332.05
Lecture 7
Agenda
- Continue Chapter 3 lectures
- Test 1 Handouts
- Two Events Quiz (assigned 9/18/2025, due 9/23/2025)
- CDF Practice Problems (assigned 9/18/2025, due 9/23/2025)
- CDF Quiz (assigned 9/23/2025, due 9/25/2025)
- Binomial Practice Problems (assigned 9/23/2025, due 9/25/2025)
Handouts
Mean and Variance of a Discrete Random Variable
-
The mean or expected value of a random variable (denoted \(E(X)\)) is
\[ \mu=E(X)=\sum_{i=1}^Nx_if(x_i) \] -
The variance of \(X\) is
\[ \sigma^2=V(X)=E(X-\mu)^2=\sum_{i=1}^N(x_i-\mu)^2f(x_i)=\sum_{i=1}^Nx_i^2f(x_i)-\mu^2 \] -
The standard deviation of \(X\) is
- Fortunately, we won't often use these formulas. Distributions will have defined functions for \(\mu\) and \(\sigma^2\)
Bernoulli Distribution
The Bernoulli distribution is one of the simplest statistical distributions.
-
The Bernoulli distribution is a random variable that can take only two values
-
Usually the events are labelled 0 and 1
-
The distribution is defined by a single parameter \(p\;(0\leq p\leq 1)\), takes the values 0 and 1 with \(P(X=0)=1-p\) and \(P(X=1)=p\)
-
The mean is
- The standard deviation is
Summary of Common Probability Distributions (Discrete)

Discrete Uniform Distribution
-
A random variable \(X\) is a discrete uniform rv if each of the \(n\) values in its range, \(x_1,x_2,\ldots,x_n\) has equal probability
-
The PMF of a discrete uniform is defined to be
\[ f(x_i)=\frac{1}{n} \] -
If the discrete uniform random variable is defined on the consecutive integers \(a,a+1,\ldots,b\) for \(a\leq b\). The mean is
\[ \mu=E(X)=\frac{b+a}{2} \]and the standard deviation is
\[ \sigma=\sqrt{\frac{(b-a+1)^2-1}{12}} \] -
Work problem 3.80
Problem 3.80

Binomial Distribution
-
A very common and important distribution. See examples on pages 80
-
A binomial experiment is an experiment consisting of \(n\) repeated trials such that
-
the trials are independent
-
each trial results in a Bernoulli outcome
-
the probability of success on each trial, denoted as \(p\), remains constant
-
-
To be a binomial distribution, the sampling must be done with replacement. In some situations, the binomial distribution can be used when the sampling is done without replacement
Binomial Distribution
-
The binomial PMF is
\[ f(x)=\left(\begin{array}{c}n\\x\\\end{array}\right)p^x(1-p)^{n-x} \]where \(\left(\begin{array}{c}n\\x\\\end{array}\right)=\frac{n!}{x!(n-x)!}\)
-
The mean of a binomial random variable is
- The standard deviation of \(X\) is
Example Problem

Excel Formula for Binomial Example

Cumulative Binomial Probability Tables

Binomial Practice Problems
Hypergeometric Distribution
The hypergeometric distribution is one of the commonly occurring distributions in quality.
-
A random variable is hypergeometric when a set of \(N\) objects contains
-
\(K\) objects classified as successes and
-
\(N-K\) objects classified as failures
-
a sample of size \(n\) is selected without replacement from the \(N\) objects, where \(K\leq N\) and \(n\leq N\)
-
Hypergeometric Distribution
-
The hypergeometric PMF is
\[ f(x)=\frac{\left(\begin{array}{c}K\\x\end{array}\right)\left(\begin{array}{c}N-K\\n-x\end{array}\right)}{\left(\begin{array}{c}N\\n\end{array}\right)} \] -
The mean of \(X\) is
- The variance of \(X\) is
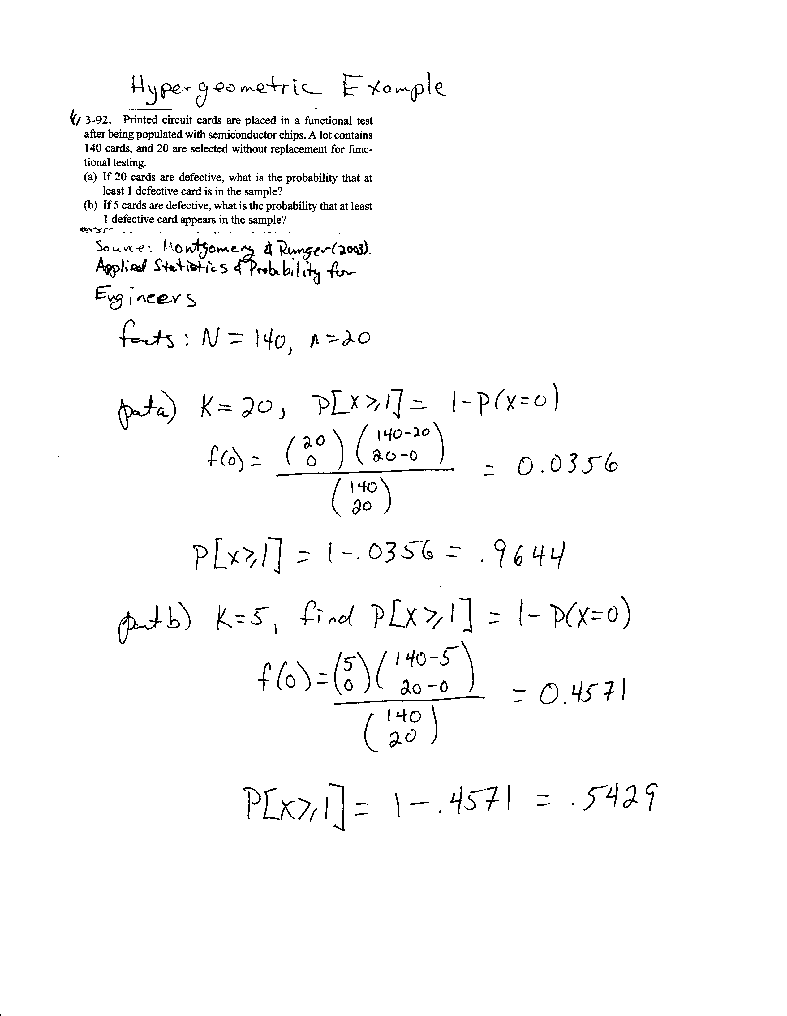
Hypergeometric Example Problem

Excel for Hypergeometric Example

Binomial Approximation to the Hypergeometric Distribution
- The mean and variance of the hypergeometric and binomial distribution are very similar. The variance only differs by the finite population correction factor,
-
Sampling with replacement is equivalent to sampling from an infinite set (without replacement) because the proportion remains constant
-
If \(n\) is small relative to \(N\), then the finite correction is negligible and the binomial distribution can be used as an approximation to the hypergeometric.
-
A rule of thumb is to use this approximation when \(N/n>20\).
Geometric Distribution
-
Montgomery and Runger (2003) define a geometric random variable to be the number of trials until the first success of a series of independent Bernoulli trials, with constant probability \(p\) of success
-
The PMF of a geometric distribution is
- The mean of a geometric random variable is
- The variance of a geometric random variable is
---
Geometric Distribution Example

Negative Binomial Distribution
-
Montgomery and Runger (2003) define a negative binomial random variable to be the number of trials until \(r\) successes are observed of a series of independent Bernoulli trials, with constant probability \(p\) of success
-
The geometric distribution is a special case of the negative binomial distribution with \(r=1\)
-
The PMF of a negative binomial distribution is
- The mean of a negative binomial random variable is
- The variance of a negative binomial random variable is
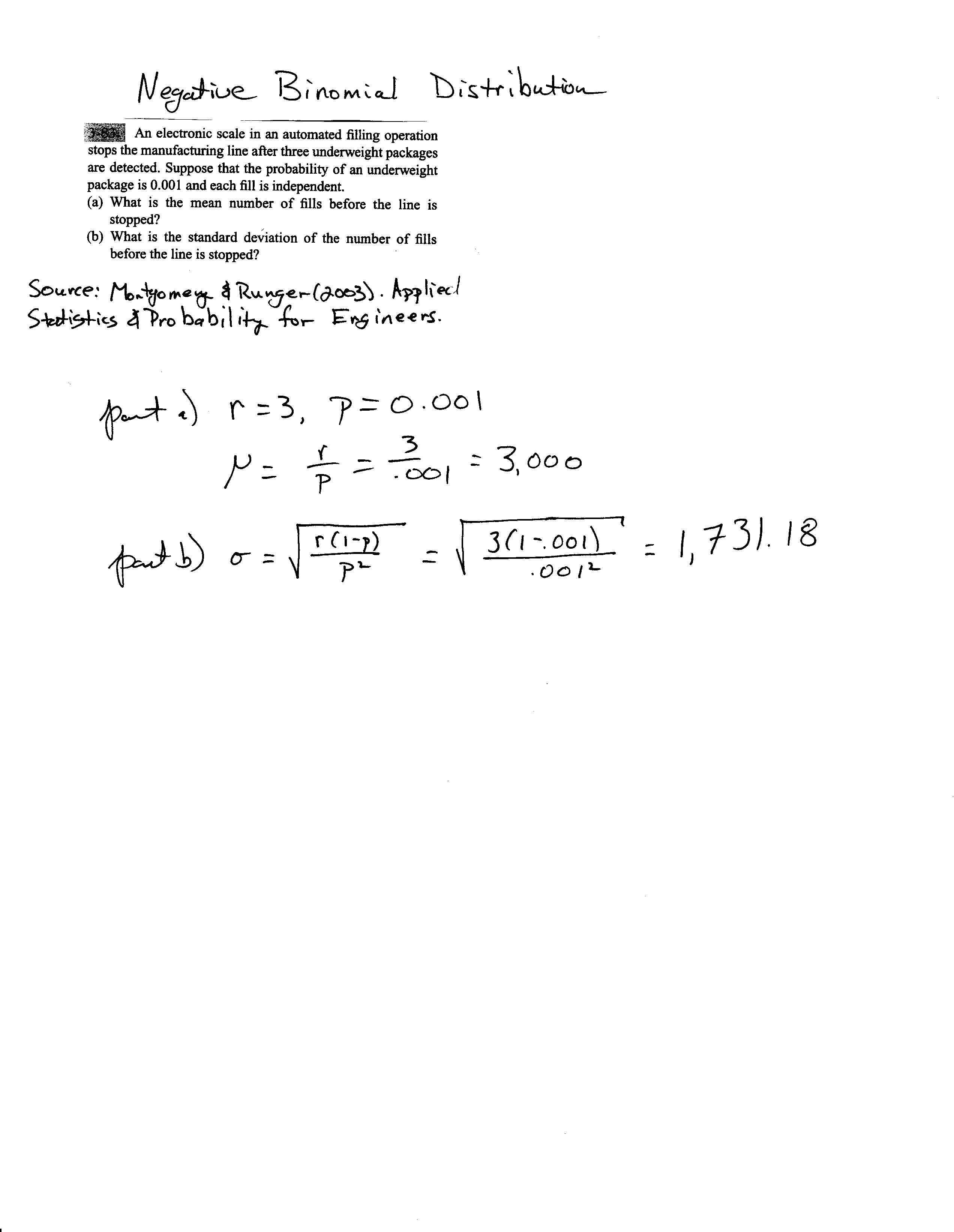
Negative Binomial Example

Poisson Process
-
The number of events over an interval (such as time) is a discrete random variable that is often modelled by the Poisson distribution
-
The length of the interval between events is often modeled by the (continuous) exponential distribution
-
These two distributions are related
Poisson Process
-
The number of events over an interval (such as time) is a discrete random variable that is often modelled by the Poisson distribution
-
The length of the interval between events is often modelled by the (continuous) exponential distribution
-
These two distributions are related
Poisson Process
Assume that the events occur at random throughout the interval. If the interval can be partitioned into subintervals of small enough length such that
-
The probability of more than one count in a subinterval is zero
-
The probability of one count in a subinterval is the same for all subintervals and proportional to the length of the subinterval, and
-
The count in each subinterval is independent of other subintervals, the random experiment is called a Poisson process
Poisson Distribution
If the mean number of counts in the interval is \(\lambda>0\), the random variable \(X\) that equals the number of counts in the interval has a Poisson distribution with parameter \(\lambda\)
- The Poisson PMF is
- The mean of a Poisson random variable is
- The variance of a Poisson random variable is
Poisson Practice Problems
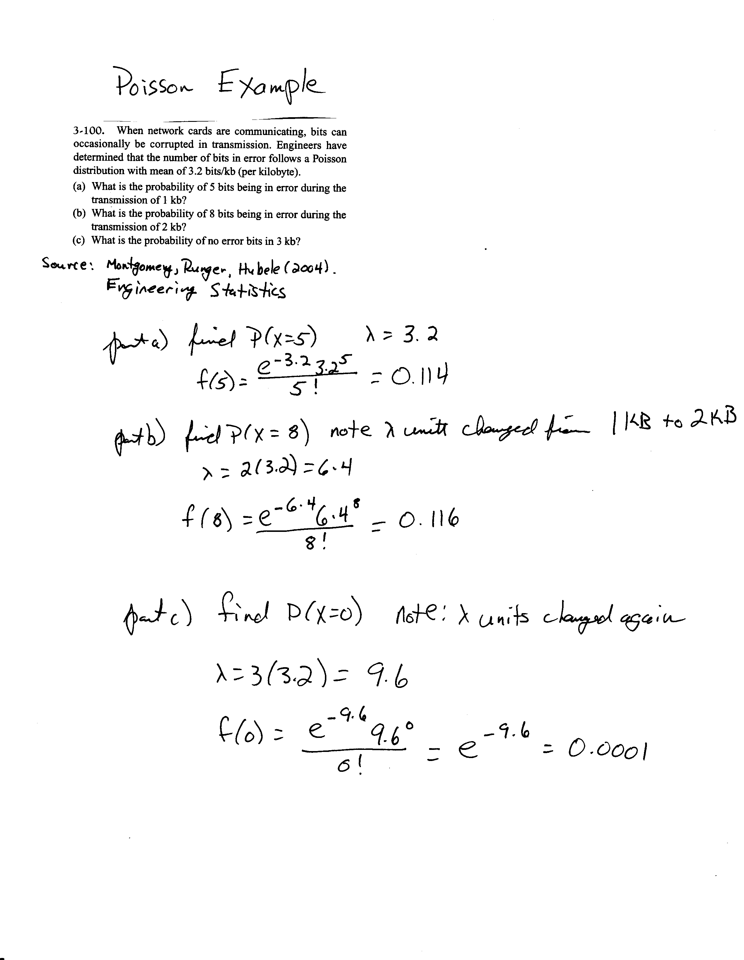
Poisson Example
