MANE 6313¶
Week 6, Module E¶
Student Learning Outcome¶
- Select an appropriate experimental design with one or more factors,
- Select an appropriate model with one or more factors,
- Evaluate statistical analyses of experimental designs,
- Assess the model adequacy of any experimental design, and
- Interpret model results.
Module Learning Outcome¶
Analyzing an experiment with one observation per cell
One observation per cell¶
-
Let us construct an ANOVA for a 2-factor factorial experiment with an interaction term assuming \(n=1\)
-
We run out of degrees of freedom
-
Another method is to examine the interaction term and note its expected mean square value
-
If an interaction is present, we can not separate it from our estimate of \(\sigma\)
-
The only approach is to assume that the interaction does not exist and use our estimate of interaction for error
Degrees of Freedom Analysis¶
Tukey's Test for interactions¶
Specialized test. Very helpful for one observation per cell.
- Calculate
\[
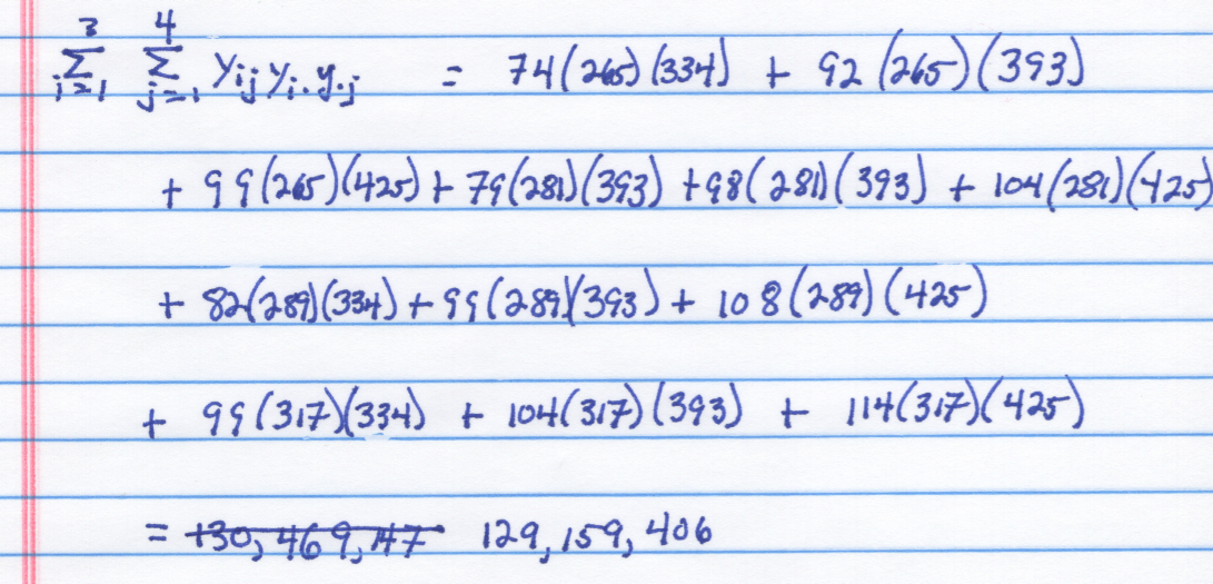
SS_N=\frac{\left[\sum_{i=1}^a\sum_{j=1}^by_{ij}y_{i.}y_{.j}-y_{..}\left(SS_A+SS_B+\frac{y_{..}^2}{ab}\right)\right]^2}{abSS_ASS_B}
\]
- Calculate
\[
SS_{Error}=SS_{Residual}-SS_N
\]
- Calculate
\[
F_0=\frac{SS_N}{SS_{Error}/\left[(a-1)(b-1)-1\right]}
\]
- Reject the hypothesis of no interaction
\[
F_0>F_{\alpha,1,(a-1)(b-1)-1}
\]
Problem 5.9 as a Single Replicate¶

Single Replicate Example ANOVA¶

Organize Data¶
- Form table
- Calculate marginal totals

Calculate Double Sum for SSn¶

Calculate SSn¶

Calculate SSerror¶

Calculate Test Statistic¶

Hypothesis Test Results¶
